
Due to the condition of the Dillingham City School District parking lot, the remainder of today's games will remain closed to the public.
Thank you for your understanding. We will reopen to the public for tomorrow’s games. All games are available to watch live on NFHS Network.
https://www.nfhsnetwork.com/events/dillingham-high-school-dillingham-ak/gamc10b0db305
Dear Families,
Due to hazardous driving conditions and blowing and drifting snow, the Dillingham City School District has closed its parking lot. As a result, the afternoon games for the Tide Table Tipoff basketball tournament will be closed to the public.
The City is asking that community members stay off the roads during this storm. Please do not come to the school at this time.
The District will make a decision regarding the Dillingham games at 2:00 pm today and will share an update with all parents as soon as that decision is made.
Thank you for your understanding and for helping us keep everyone safe.


The School Board Special Meeting and Work Session is being postponed until tomorrow, January 6th at 6:00 PM due to weather.
Talking Circles are coming to Dillingham Middle/High School to provide students a safe, supportive space to connect, listen, and share—with no requirement to attend every week.
Parent Information Meeting
🗓 Monday, January 12, 2026
5:30 PM | DMHS Room 207
✨ Swag, door prizes & refreshments
Talking Circles - Begin January 14, 2026
Middle School: Wednesdays
High School: Thursdays
8:15–9:00 AM | DMHS Room 113
✔ Permission form required
✔ Attend as needed
Questions? Please call 907-842-5221


https://www.surveymonkey.com/r/3WJCZ9C
Teaching Opportunities: Posted on 12.15.2025

School-Community @ Mug Up!
Location: Dillingham High School Front Office Area
Details: Join us for coffee, snacks, and good conversation with students, staff, and community members. All are welcome!
Hosted by: SAFE, DCSD, and community partners
Contact: Tish Olson, 907-842-5221 | tolson@dlgsd.org



Christmas Concert!

Public Announcement
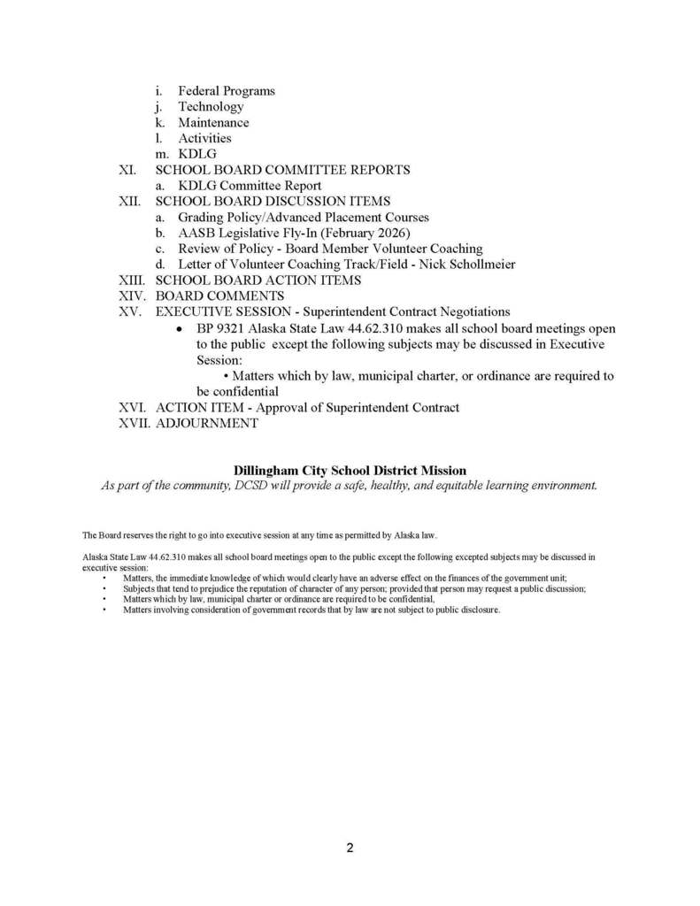
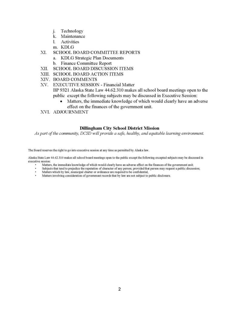
The Dillingham community is invited to join the Dillingham City School District’s Finance and Budget Committee meeting on Wednesday, December 3, 2025, at 4:00 p.m. in the Dillingham City School District Central Office.
Purpose of the Meeting:
The Finance and Budget Committee will be meeting to continue the work started during our November 13 meeting as we review and recommend how the district should use the additional school funding made available through the recent veto override of HB 57. These recommendations will be shared with the School
Board during the committee reports and considered for implementation during the board’s action items.
All community members are welcome and encouraged to take part in the conversation.
Dear Parents and Guardians,
We will be following our normal Friday schedule this Wednesday, November 26. Students will be dismissed at 2 p.m., and because of the earlier dismissal, buses will arrive at their stops about an hour earlier than usual. There will be no afterschool program in either building.
I hope you all have a happy and safe Thanksgiving holiday.
Chris Aguirre
Interim Superintendent
Dillingham City School District
